
Multiple myeloma is a clonal plasma cell proliferative disorder that is often diagnosed in individuals aged 65 to 74 years1. Notably, the treatment landscape of MM has evolved over the last few years with availability of newer agents and combination treatments2. Daratumumab (DARA), a fully human monoclonal antibody3 has recently shown promising results as a combined induction and consolidation agent in the CASSIOPEIA study4. The long-term outcomes (> 6-Year Update) from CASSIOPEIA were presented at the 2024 European Haematology Association (EHA) on June 14th, 2024, in Madrid, Spain by Professor Philippe Moreau, a world-renowned haematology specialist.
MM is a clonal plasma cell proliferation disorder with abnormally elevated serum monoclonal immunoglobulins, often resulting in severe end-organ damage when left untreated. It is frequently diagnosed among individuals aged 65 to 74 years, with a median age of 69 years1. Interestingly, MM accounts for approximately 2% of the cancers diagnosed and 10% of haematologic malignancies in the United States (U.S.). The diagnostic criteria for MM typically include ≥ 10% clonal plasma cells in bone marrow, demonstrable end-organ damage and specific myeloma-defining biomarkers5. The treatment landscape of MM has evolved over the last few years with availability of many newer agents and combination treatments that has now been routinely incorporated for newly diagnosed MM patients (NDMM). However, the multitude of treatment options may also present a challenge to select the best options tailored to specific patient situation2. DARA, a fully human monoclonal antibody targeting clusters of differentiation 38 (CD38) has received the Food and Drug Administration (FDA) approval in 2019 as treatment for adult with MM in combination with bortezomib, thalidomide and dexamethasone in NDMM patients who are eligible for autologous stem cell transplant (ASCT)3.
Efficacy of DARA was investigated in CASSIOPEIA, a two-part, open-label, randomised active-controlled phase 3 study comparing induction and consolidation treatment with daratumumab 16 mg/kg in combination with bortezomib, thalidomide, and dexamethasone (D-VTd) to treatment with bortezomib, thalidomide and dexamethasone (VTd) in patients with NDMM eligible for ASCT4. In part 1 of the study, patients were randomly assigned (1:1) to receive either 4 pre-transplant induction and 2 post-transplant consolidation cycles of VTd alone (VTd group) or in combination with DARA (D-VTd group), with a median follow-up of 18.8 months from first randomisation. The primary endpoint of the first part of the trial (part 1) was stringent complete response assessed 100 days after transplantation. Remarkably, the results demonstrated that addition of DARA to VTd before and after ASCT improved the depth of response and significantly prolonged the PFS, as well as overall survival (OS) with acceptable safety profile in NDMM patients4. During the second part of the trial (part 2), 886 patients still on the study post-consolidation (day 100 post-ASCT) who had experienced partial response or better (458 [84%] of the D-VTd group; 428 [79%] of the VTd group) were randomly assigned between May 2016 to June 2018 to receive either daratumumab maintenance (n=442 [229 from D-VTd group, and 213 from the VTd group]) or observation only (n=444 [229 from the D-VTd group, 215 from the VTd group]) with a median follow-up of 35.4 months from second randomisation. The primary endpoint was PFS from second randomisation and astonishingly, DARA maintenance every 8 weeks for 2 years significantly improved the PFS (hazard ratio [HR]: 0.53 [95% confidence interval (CI): 0.42-0.68]; P<0.0001) and achieved higher rates of minimal residual disease (MRD) compared to the observational group6.
D-VTd have profound effects on survival as induction/consolidation and maintenance monotherapy7
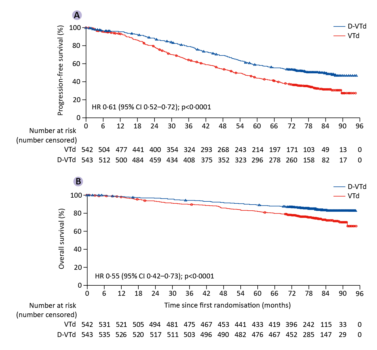
The long-term study outcomes of CASSIOPEIA were evaluated by Moreau et al. (2024) and data from part 1 of the study with 1,085 patients who were randomly assigned to D-VTd (n=543) or VTd (n=542) between 22nd September 2015 and 1st August 2017 were included. Similarly, data from the part 2 of the CASSIOPEIA was included where 886 patients who were re-randomised to DARA maintenance (n=442) or observation (n=444) between 30th May 2016 to 18th June 20187. The median follow-up was 80.1 months (interquartile range [IQR] 75.7-85.6 months) from first randomisation and 70.6 months (66.4-76.1) from second randomisation with a total of 1,053 patients entered the follow-up phase. The median PFS (mPFS) for first randomisation regardless of second randomisation was significantly longer for the D-VTd group (83.7 months [95% CI: 70.2 not estimable (NE)]) than for the VTd group (52.8 months [47.5-58.7]; HR 0.61 [95% CI: 0.52-0.72]; p<0.0001)7.
Similarly, the OS from first randomisation regardless of second randomisation was significantly longer in the D-VTd group than the VTd group (estimated 72-month OS rate of 86.7% [95% CI: 83.5-89.3] in D-VTd group vs 77.7% (73.9-81.0) in VTd group, respectively), conferring a 45% risk reduction of death with D-VTd compared to VTd (Figure 1)7.
Figure 1. Progression-free survival and overall survival from first randomisation regardless of second randomisation in the intention-to-treat population (n=1085)7 with median follow-up of 80.1 months. (A) Progression-free survival. (B) Overall survival. D-VTd=daratumumab in combination with bortezomib, thalidomide, and dexamethasone. HR=hazard ratio. VTd=bortezomib, thalidomide, and dexamethasone.
During the maintenance phase with a median follow-up of 70.6 months from second randomisation, the PFS was significantly longer in the DARA maintenance group compared to the observation group (HR: 0.49 [95% CI: 0.40-0.59]; p<0.0001). However, the mPFS was not reached (95% CI: 79.9-NE) in the DARA group vs 45.8 months (41.8-49.6) in the observation group. The estimated 72-month PFS rates were 57.1 (52.1-61.7) in the DARA group and 36.5% (31.9-41.2) in the observational group; DARA maintenance reduced the risk of progression or death by 51% compared to the observational group7. Notably, the PFS was significantly longer in patients who received D-VTd plus DARA maintenance vs D-VTd plus observation (HR: 0.76 [95% CI: 0.58-1.00]; p=0.048). The estimated 72-month PFS was 60.3% in D-VTd plus DARA group compared to only 50.5% in the D-VTd plus observational group (Figure 2)7.
Figure 2. Progression-free survival from second randomisation in the maintenance-specific intention-to-treat population (n=886). Progression-free survival from second randomisation by induction and consolidation and maintenance therapies. Daratumumab and observation were the two randomly assigned (1:1) treatments at second randomisation; therefore, these are the comparisons with HRs, 95% CIs, and p values provided in the further breakdown of the data by induction and consolidation treatment (D-VTd or VTd)7. HR=hazard ratio. D-VTd=daratumumab in combination with bortezomib, thalidomide, and dexamethasone. VTd=bortezomib, thalidomide, and dexamethasone.
The longest PFS was observed in patients who received D-VTd plus DARA maintenance7
Achieving MRD-negativity is a strong and independent prognostic factor in both prospective randomised clinical trials and in the real-world setting8. The CASSIOPEIA study utilised multiparametric flow cytometry to measure the MRD-negativity rate and demonstrated a higher rate of MRD-negativity in D-VTd group compared to the VTd group after both the induction and consolidation therapies. During the maintenance phase of the study, the reported MRD-negativity was higher in the D-VTd plus DARA group compared to the D-VTd plus observation group at 10-6 sensitivity threshold. Similarly, the proportion of patients reported with MRD-negativity was higher in the VTd plus DARA group than the VTd plus observation group at the 10-5 and 10-6 thresholds, respectively (Figure 3)7.
Figure 3. Proportion of patients with a complete response or better and MRD-negativity at any timepoint from post-consolidation onwards in the maintenance-specific intention-to-treat population (n=886). MRD was assessed using bone marrow aspirates via next-generation sequencing7. MRD=minimal residual disease. OR=odds ratio. D-VTd=daratumumab in combination with bortezomib, thalidomide, and dexamethasone. VTd=bortezomib, thalidomide, and dexamethasone.
The post-hoc analysis showed that the proportion of patients with sustained MRD-negativity for 12 months or longer was higher in the D-VTd plus DARA group than the D-VTd plus observation group at both the 10-5 and 10-6 sensitivity thresholds, respectively. The proportion of patients with sustained MRD-negativity for 24 months or longer was also higher in the D-VTd plus DARA group than D-VTd plus observation group at both sensitivity threshold (Figure 4)7. Additionally, the proportions of patients with sustained MRD-negativity for 12 months or longer and for 24 months or longer were also higher in the VTd plus DARA group than in the VTd plus observation group at both sensitivity thresholds7. A higher proportion of patients who received subsequent therapy received an anti-CD38-based first subsequent therapy in the observation group (61% in the D-VTd plus observation group and 68% of VTd plus observation group) compared to the DARA maintenance group (38% in D-VTd plus DARA group and 40% in VTd plus DARA group). Among the anti-CD38-based treatment, the most common subsequent therapy regimen was DARA, lenalidomide and dexamethasone (D-Rd)7. Interestingly, the PFS on next line of therapy from second randomisation was longer in DARA maintenance group than in the observation group7, highlighting the importance of early inclusion of DARA in the treatment regimen.
Figure 4. Post-hoc analysis of the proportion of patients with a complete response or better and sustained MRD negativity at any timepoint from post-induction onwards in the maintenance-specific intention-to-treat population (n=886). MRD was assessed using bone marrow aspirates via next-generation sequencing7. CI= confidence interval. MRD=minimal residual disease. OR=odds ratio. D-VTd=daratumumab in combination with bortezomib, thalidomide, and dexamethasone. VTd=bortezomib, thalidomide, and dexamethasone.
Highest Sustained MRD-negativity rates reported in D-VTd/DARA group for ≥12 and ≥24 Months7
As the survival times of MM patients continue to improve, second primary malignancies (SPM) have become an increasingly relevant long-term risk among MM survivors9. The long-term follow-up of CASSIOPEIA revealed that the risk of SPM observed during the maintenance phase was relatively low and consistent in all arms of the treatment throughout the 6 years follow-up (11% of 229 patients in the D-VTd plus DARA group, 6% of 229 patients in D-VTd plus observation group, 12% of 211 patients in the VTd plus DARA group, and 10% of 215 patients in the VTd plus observation group)7. The CASSIOPEIA study represents as one of the longest durations of follow-up in transplant-eligible patients with NDMM to date with median follow-up of nearly 7 years from first randomisation. The study also highlighted that the addition of DARA to VTd induction and consolidation had a significantly lower risk of disease progression or death than patients treated with VTd only.
Furthermore, the median PFS was approximately 2.5 years longer with the addition of DARA to the VTd regimen in NDMM patients. In terms of maintenance, PFS benefit was observed in patients who received D-VTd plus DARA maintenance and VTd plus DARA maintenance compared to those who only received observation (D-VTd plus observation and VTd plus observation)7. Therefore, it can be concluded that patients treated with D-VTd plus DARA maintenance show a clinically superior PFS outcomes and DARA maintenance improves PFS, even when accounting for the effects of induction and consolidation therapies. More notably, NDMM patients treated on VTd regimen experienced a longer PFS with next line of therapy with DARA (VTd plus DARA) compared to VTd plus observation. The reported clinical benefits of D-VTd regimen were complemented by observations reported in the phase 3 PERSEUS and phase 2 GRIFFIN studies7.
Consistently low incidence of second primary malignancies up to ~6 Year of Follow-up7
D-VTd induction and consolidation therapy followed by DARA maintenance therapy leads to a high and durable rates of MRD-negativity, which translates to superior PFS outcomes7. These results confirm D-VTd as a viable treatment option for induction and consolidation, followed by subsequent DARA monotherapy maintenance for transplant-eligible NDMM patients.
D-VTd induction/consolidation as a standard of care with demonstrated benefits on addition of DARA monotherapy maintenance in transplant-eligible NDMM patients 7
References
1. Kumar SK, et al. Journal of the National Comprehensive Cancer Network 2023; 21(12): 1281-301. 2. Moreau P, et al. Am Soc Clin Oncol Educ Book 2020; 40: 1-15. 3. Lamb YN. Drugs 2020; 80(14): 1455-64. 4. Moreau P, et al. Lancet 2019; 394(10192): 29-38. 5. Zhu DT, et al. Scientific Reports 2024; 14(1): 14564. 6. Moreau P, et al. The Lancet Oncology 2021; 22(10): 1378-90. 7. Moreau P, et al. Lancet Oncol 2024; 25(8): 1003-14. 8. Szalat R, et al. Haematologica 2024; 109(7): 2049-59. 9. Poh C, et al. Blood Rev 2021; 46: 100757.
The above content is for medical education supported by Johnson & Johnson (HK) Ltd. as a post-congress information for educational purpose only. It is not intended as an endorsement of any usage not contained in the Hong Kong Prescribing Information.





